Syarat Pengambilan Skripsi Amikom - Fotocopy Sertifikat TOEFL yang telah dilegalisir 1 lembar. Bentuk Skripsi di STMIK AMIKOM Yogyakarta berupa laporan penelitian yang ditulis oleh mahasiswa sebagai persyaratan akhir pendidikan akademisnya diketik dan di print pada kertas A4 Margin kiri 4 cm kanan 3 cm atas 4 cm dan bawah 3 cm. Pendaftaran di mulai tanggal 1 10 disetiap bulan.
Syarat pengambilan skripsi amikom. Atau skripsi jenis laporan lambang STMIK AMIKOM nama dan nomor penulispenyusun nama perguruan tinggi dan tahun dipertahankan. 12 Tujuan Skripsi Tujuan skripsi adalah melatih mahasiswa untuk melakukan penelitian secara utuh mulai dari mengenal dan merumuskan masalah merumuskan tujuan penelitian dan. Syarat mengikuti Yudisium aTelah menyelesaikan persyaratan administrasi. Disarankan memakai CD-RW untuk mengantisipasi masalah teknis 6.
Pedoman Penyusunan Proposal Dan Laporan Skripsi Edisi From studylibid.com
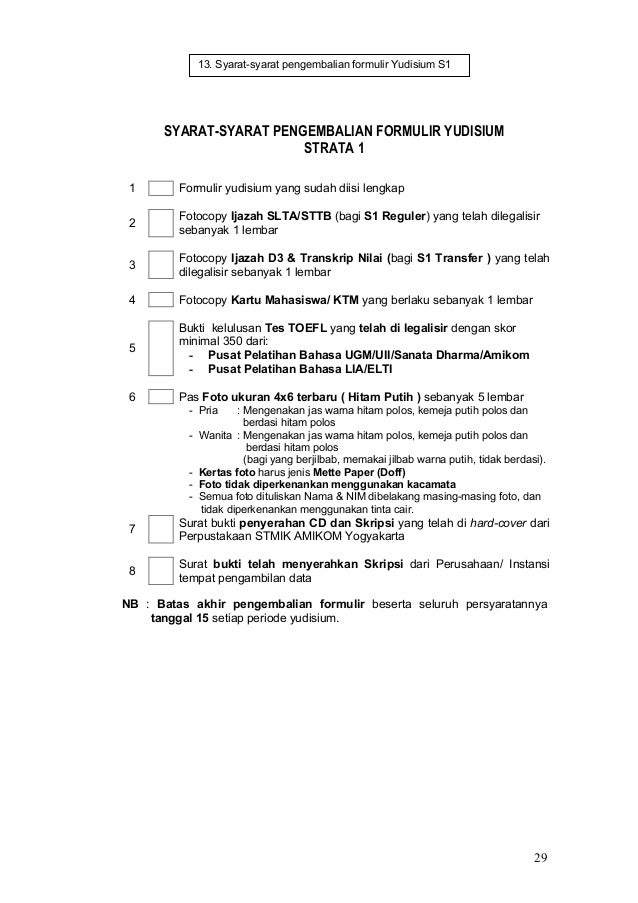
Pendaftaran di mulai tanggal 1 10 disetiap bulan. Diberitahukan kepada Peserta Wisuda XVIII dikarenakan ada agenda rapid test dari dinas kesehatan untuk pengambilan ijazah pada hari Sabtu 5 Desember 2020 dilayani mulai pukul 1100-1300 wib bagi yang sudah mengumpulkan berkas yudisium sampai tanggal 20 November 2020. BTelah dinyatakan Lulus seluruh mata kuliah baik mata kuliah wajib pilihan maupun konsentrasi termasuk lulus tugas akhirskripsi. Batas akhir pengembalian formulir beserta seluruh persyaratannya tanggal 15 setiap periode yudisium. Kartu Mahasiswa Sementara Tahun Ajaran 20202021. Jadwal pembagian ijazah transkipyg berhak mengambil update 2.
Periode Yudisium Yudisium diselenggarakan setiap bulan.
Untuk pengambilan dilayani tiap hari Senin Jumat Pukul 0900- 1400 dengan kuota maximal 10 mahasiswa per hari selama pandemi. Itosetiawanamikompurwokertoacid 2 STMIK AMIKOM Purwokerto email. Atau skripsi jenis laporan lambang STMIK AMIKOM nama dan nomor penulispenyusun nama perguruan tinggi dan tahun dipertahankan. 0274 884201 - 207. Disarankan memakai CD-RW untuk mengantisipasi masalah teknis 6. Surat bukti telah menyerahkan Skripsi dari PerusahaanInstansi tempat pengambilan data.
Source:
Periode Yudisium Yudisium diselenggarakan setiap bulan. BTelah dinyatakan Lulus seluruh mata kuliah baik mata kuliah wajib pilihan maupun konsentrasi termasuk lulus tugas akhirskripsi. Pendaftaran pengambilan formulir yudisium tanggal 1-10. 0274 884201 - 207. Ring Road Utara Condong Catur Sleman Yogyakarta.
Source:
0274 884201 - 207. RINGROAD UTARA CONDONG CATUR DEPOK SLEMAN GEDUNG 4 Lantai 1. DIREKTORAT ADMINISTRASI AKADEMIK DAN KEMAHASISWAANUNIVERSITAS AMIKOM Yogyakarta. Direktorat Administrasi Akademik Dan Kemahasiswaan AMIKOM. Untuk pengambilan dilayani tiap hari Senin Jumat Pukul 0900- 1400 dengan kuota maximal 10 mahasiswa per hari selama pandemi.
Source:
Batas akhir pengembalian formulir beserta seluruh persyaratannya tanggal 15 setiap periode yudisium. Score TOEFL minimal 400. Atau skripsi jenis laporan lambang STMIK AMIKOM nama dan nomor penulispenyusun nama perguruan tinggi dan tahun dipertahankan. Jadwal pengambilan ijazah dan transkip yudisium juli agustus september 2020 2021-01-11 1. Itosetiawanamikompurwokertoacid 2 STMIK AMIKOM Purwokerto email.
Source: idejudulskripsi.blogspot.com
Syarat mengikuti Yudisium aTelah menyelesaikan persyaratan administrasi. Disarankan memakai CD-RW untuk mengantisipasi masalah teknis 6. Atau skripsi jenis laporan lambang STMIK AMIKOM nama dan nomor penulispenyusun nama perguruan tinggi dan tahun dipertahankan. DIREKTORAT ADMINISTRASI AKADEMIK DAN KEMAHASISWAANUNIVERSITAS AMIKOM Yogyakarta. Universitas Amikom Yogyakarta merupakan universitas swasta di Yogyakarta yang memiliki 2 program diploma 13 program sarjana dan 1 program pascasarjana.
Source:
Skripsi di STMIK AMIKOM Yogyakarta merupakan karya ilmiah yang berupa laporan skripsi yang ditulis oleh mahasiswa sebagai persyaratan akhir pendidikan akademisnya. 12 Tujuan Skripsi Tujuan skripsi adalah melatih mahasiswa untuk melakukan penelitian secara utuh mulai dari mengenal dan merumuskan masalah merumuskan tujuan penelitian dan. UNIVERSITAS AMIKOM YOGYAKARTA JL. Pemberitahuan kepada mahasiswa STMIK AMIKOM Surakarta Pengambilan Kartu Mahasiswa akan dilayani mulai Hari Senin Tanggal 25 Januari 2021. Surat bukti penyerahan Skripsi yang telah dijilid Rangkap 1 beserta program aplikasi dalam bentuk disketCD dari perpustakaan Universitas AMIKOM Yogyakarta.
Source:
Form ini hanya bisa diisi menggunakan email student amikom. Judul Proyek Akhir Skripsi di cover CD harus sesuai dengan judul di dalam naskah tercetak. Silahkan Login dengan NPM dan Password AMIKOM anda. 0274 884201 - 207. Skripsi di STMIK AMIKOM Yogyakarta merupakan karya ilmiah yang berupa laporan skripsi yang ditulis oleh mahasiswa sebagai persyaratan akhir pendidikan akademisnya.
Source:
Silahkan Login dengan NPM dan Password AMIKOM anda. Ito Setiawan1 Muhammad Awiet WP 2. Periode Yudisium Yudisium diselenggarakan setiap bulan. Mahasiswa STMIK AMIKOM Surakarta Raih Gelar pada International Competition Business Plan Pelantikan Ketua Program Studi S1 Informatika STMIK AMIKOM Surakarta Periode 2019 2020. Disarankan memakai CD-RW untuk mengantisipasi masalah teknis 6.
Source: semutmerahputihblog.blogspot.com
Surat bukti telah menyerahkan Skripsi dari PerusahaanInstansi tempat pengambilan data. Atau skripsi jenis laporan lambang STMIK AMIKOM nama dan nomor penulispenyusun nama perguruan tinggi dan tahun dipertahankan. Mahasiswa STMIK AMIKOM Surakarta Raih Gelar pada International Competition Business Plan Pelantikan Ketua Program Studi S1 Informatika STMIK AMIKOM Surakarta Periode 2019 2020. Silahkan Login dengan NPM dan Password AMIKOM anda. Syarat pengambilan dengan menunjukkan KTM yang berlaku.
Source: researchgate.net
Judul Proyek Akhir Skripsi di cover CD harus sesuai dengan judul di dalam naskah tercetak. Ito Setiawan1 Muhammad Awiet WP 2. SYARAT PENDAFTARAN PENDADARAN. Pengambilan Kartu Mahasiswa by amikom 9 Desember 2019 Diberitahukan kepada mahasiswa STMIK Amikom Surakarta Kartu Mahasiswa yang baru dapat diambil di Front Office dengan menukarkan Kartu Mahasiswa yang lama yang sudah tidak berlaku lagi jika Kartu Mahasiswa lama hilang maka dikenakan sanksi administrasi. Kartu Mahasiswa Sementara Tahun Ajaran 20202021.
Source: studylibid.com
Universitas Amikom Yogyakarta merupakan universitas swasta di Yogyakarta yang memiliki 2 program diploma 13 program sarjana dan 1 program pascasarjana. Surat bukti penyerahan CD dan Skripsi yang telah di hard-cover dari Perpustakaan STMIK AMIKOM Yogyakarta 8 Surat bukti telah menyerahkan Skripsi dari Perusahaan Instansi tempat pengambilan data NB. Surat bukti telah menyerahkan Skripsi dari PerusahaanInstansi tempat pengambilan data. Ring Road Utara Condong Catur Sleman Yogyakarta. Form ini hanya bisa diisi menggunakan email student amikom.
Source: slideshare.net
Pengambilan Kartu Mahasiswa by amikom 9 Desember 2019 Diberitahukan kepada mahasiswa STMIK Amikom Surakarta Kartu Mahasiswa yang baru dapat diambil di Front Office dengan menukarkan Kartu Mahasiswa yang lama yang sudah tidak berlaku lagi jika Kartu Mahasiswa lama hilang maka dikenakan sanksi administrasi. Surat bukti penyerahan CD dan Skripsi yang telah di hard-cover dari Perpustakaan STMIK AMIKOM Yogyakarta 8 Surat bukti telah menyerahkan Skripsi dari Perusahaan Instansi tempat pengambilan data NB. Syarat pengambilan dengan menunjukkan KTM yang berlaku. 0274 884201 - 207. Periode Yudisium Yudisium diselenggarakan setiap bulan.
Source:
Syarat mengikuti Yudisium aTelah menyelesaikan persyaratan administrasi. Skripsi di STMIK AMIKOM Yogyakarta merupakan karya ilmiah yang berupa laporan skripsi yang ditulis oleh mahasiswa sebagai persyaratan akhir pendidikan akademisnya. Kartu Mahasiswa Sementara Tahun Ajaran 20202021. Pengambilan Kartu Mahasiswa by amikom 9 Desember 2019 Diberitahukan kepada mahasiswa STMIK Amikom Surakarta Kartu Mahasiswa yang baru dapat diambil di Front Office dengan menukarkan Kartu Mahasiswa yang lama yang sudah tidak berlaku lagi jika Kartu Mahasiswa lama hilang maka dikenakan sanksi administrasi. Itosetiawanamikompurwokertoacid 2 STMIK AMIKOM Purwokerto email.
Source:
Surat bukti penyerahan Skripsi yang telah dijilid Rangkap 1 beserta program aplikasi dalam bentuk disketCD dari perpustakaan Universitas AMIKOM Yogyakarta. Kartu Mahasiswa Sementara Tahun Ajaran 20202021. SYARAT PENDAFTARAN PENDADARAN. Pengambilan Kartu Mahasiswa by amikom 9 Desember 2019 Diberitahukan kepada mahasiswa STMIK Amikom Surakarta Kartu Mahasiswa yang baru dapat diambil di Front Office dengan menukarkan Kartu Mahasiswa yang lama yang sudah tidak berlaku lagi jika Kartu Mahasiswa lama hilang maka dikenakan sanksi administrasi. Direktorat Administrasi Akademik Dan Kemahasiswaan AMIKOM.
Source:
1 STMIK AMIKOM Purwokerto email. Judul Proyek Akhir Skripsi di cover CD harus sesuai dengan judul di dalam naskah tercetak. Disarankan memakai CD-RW untuk mengantisipasi masalah teknis 6. 0274 884201 - 207. Universitas Amikom Yogyakarta merupakan universitas swasta di Yogyakarta yang memiliki 2 program diploma 13 program sarjana dan 1 program pascasarjana.
Source:
Judul Proyek Akhir Skripsi di cover CD harus sesuai dengan judul di dalam naskah tercetak. Universitas Amikom Yogyakarta merupakan universitas swasta di Yogyakarta yang memiliki 2 program diploma 13 program sarjana dan 1 program pascasarjana. Jadwal pengambilan ijazah dan transkip yudisium juli agustus september 2020 2021-01-11 1. Mahasiswa STMIK AMIKOM Surakarta Raih Gelar pada International Competition Business Plan Pelantikan Ketua Program Studi S1 Informatika STMIK AMIKOM Surakarta Periode 2019 2020. RINGROAD UTARA CONDONG CATUR DEPOK SLEMAN GEDUNG 4 Lantai 1.
Source: idejudulskripsi.blogspot.com
Pengambilan Kartu Mahasiswa by amikom 9 Desember 2019 Diberitahukan kepada mahasiswa STMIK Amikom Surakarta Kartu Mahasiswa yang baru dapat diambil di Front Office dengan menukarkan Kartu Mahasiswa yang lama yang sudah tidak berlaku lagi jika Kartu Mahasiswa lama hilang maka dikenakan sanksi administrasi. Form ini hanya bisa diisi menggunakan email student amikom. Surat bukti penyerahan Skripsi yang telah dijilid Rangkap 1 beserta program aplikasi dalam bentuk disketCD dari perpustakaan Universitas AMIKOM Yogyakarta. Pendaftaran pengambilan formulir yudisium tanggal 1-10. Batas akhir pengembalian formulir beserta seluruh persyaratannya tanggal 15 setiap periode yudisium.
Source:
Skripsi di STMIK AMIKOM Yogyakarta merupakan karya ilmiah yang berupa laporan skripsi yang ditulis oleh mahasiswa sebagai persyaratan akhir pendidikan akademisnya. Judul Tugas Akhir atau Skripsi Judul tugas akhir atau skripsi hendaknya singkat dan jelas menunjukkan masalah penelitian diketik dengan huruf besar kapital an tidak boleh disingkat format ketikan harusd. Surat bukti penyerahan Skripsi yang telah dijilid Rangkap 1 beserta program aplikasi dalam bentuk disketCD dari perpustakaan Universitas AMIKOM Yogyakarta. Score TOEFL minimal 400. Periode Yudisium Yudisium diselenggarakan setiap bulan.
Source: academia.edu
BTelah dinyatakan Lulus seluruh mata kuliah baik mata kuliah wajib pilihan maupun konsentrasi termasuk lulus tugas akhirskripsi. Bentuk Skripsi di STMIK AMIKOM Yogyakarta berupa laporan penelitian yang ditulis oleh mahasiswa sebagai persyaratan akhir pendidikan akademisnya diketik dan di print pada kertas A4 Margin kiri 4 cm kanan 3 cm atas 4 cm dan bawah 3 cm. Jadwal pengambilan ijazah dan transkip yudisium juli agustus september 2020 2021-01-11 1. Mengumpulkan naskah dalam bentuk tercetak sebanyak 1 eksemplar dalam cetakan asli bukan fotokopi atau campuran bersih dari coretan apapun dan memakai logo STMIK AKAKOM yang. Jadwal pembagian ijazah transkipyg berhak mengambil update 2.
This site is an open community for users to do submittion their favorite wallpapers on the internet, all images or pictures in this website are for personal wallpaper use only, it is stricly prohibited to use this wallpaper for commercial purposes, if you are the author and find this image is shared without your permission, please kindly raise a DMCA report to Us.
If you find this site beneficial, please support us by sharing this posts to your own social media accounts like Facebook, Instagram and so on or you can also bookmark this blog page with the title syarat pengambilan skripsi amikom by using Ctrl + D for devices a laptop with a Windows operating system or Command + D for laptops with an Apple operating system. If you use a smartphone, you can also use the drawer menu of the browser you are using. Whether it’s a Windows, Mac, iOS or Android operating system, you will still be able to bookmark this website.




