Contoh Report Fgd - Tentu saja dalam waktu 15 2 jam tidak mungkin kita mengeksplorasi semua hal. Contoh data yang diperoleh dari Dinas Kelautan dan Perikanan dapat dilihat pada Tabel 2A sedangkan contoh data yang dikeluarkan oleh Pelabuhan Perikanan Nusantara Ambon disajikan pada Tabel 2B. Dalam setiap FGDdiskusi dipandu oleh seorang fasilitator.
Contoh report fgd. Facilitating Insightful Focus Groups and Performing Exploratory Research. Identify the households in the community that have achieved fully or. Kemudian pemimpin tim dan salah satu teman Anda diserang oleh beruang jadi dia terluka parah. A survey was carried out with Syrian refugees to get an in-depth understanding of their needs.
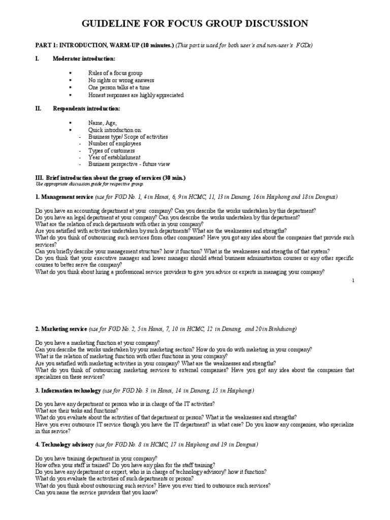
Contoh Format Laporan Fgd Contoh Diam From contohdiam.blogspot.com
CONTOH LAPORAN FOCUS GROUP DISCUSSIONS FGD I. In the first paragraph of this format write a brief detail about what the report is about who the interviewee is and the location of the interview. Beruang itu masih berkeliaran di sekitar lokasi Anda karena ia memiliki anak kecil sehingga beruang menjadi kasar. Istilah ini terdiri atas dua bagian yaitu kelompok fokus dan diskusiKelomok fokus merupakan kelompok yang terdiri atas orang-orang yang dipandang mempunyai kaitan dengan suatu masalah. Terlalu sedikit tidak memberikan. Kemudian pemimpin tim dan salah satu teman Anda diserang oleh beruang jadi dia terluka parah.
A survey was carried out with Syrian refugees to get an in-depth understanding of their needs.
Pengambilan data kualitatif melalui FGD dikenal luas karena kelebihannya dalam memberikan kemudahan dan. CONTOH LAPORAN FOCUS GROUP DISCUSSIONS FGD I. Contoh dari pelayanan masyarakat kepada kelompok. PENDAHULUAN Diberbagai kesempatan Bapak Menteri Koperasi UKM menyampaikan perlunya pendampingan bagi UMKM. Disini kita dapat melihat bahwa peraturan dapat digunakan. Then break up the interview into paragraphs just like narrating a story and then use the selected quotes that you have to help you.
Source:
If you had to pick one public service you would like to see improved what would it be. Anda dan teman Anda akan mendaki bukit. PENDAHULUAN Diberbagai kesempatan Bapak Menteri Koperasi UKM menyampaikan perlunya pendampingan bagi UMKM. Make a conclusion paragraph to end your report. Pilahkan informasi mana yang nice to have dan need to have.
Source: scribd.com
Tentu pernyataan tersebut berdasar bukti nyata di lapangan bahwa secara faktual tidak semua UMKM mampu menolong dirinya sendiri. The primary data collected had a special focus on markets particularly with the main sellers in Bekaa where a weekly price monitoring has been implemented. A survey was carried out with Syrian refugees to get an in-depth understanding of their needs. FGD adalah sebuah teknik pengumpulan data dalam penelitian yang menggunakan pendekatan kualitatif Dilakukan pada sekelompok orang untuk memberikan pendapatnya tentang suatu diskusi tertentu 2. Make a conclusion paragraph to end your report.
Source: dokumen.tips
Terlalu sedikit tidak memberikan. Dalam mengatasi permasalahan di atas Kepala Sekolah sebagai supervisor sekolah perlu melakukan tindakan sebagai berikut. Menurut beberapa literatur tentang FGD lihat misalnya Sawson Manderson. We avoid recruiting people who are too talkative too silent or not willing to share their ideas with the group. FGD Rancangan Basis Data untuk mendukung PUI.
Source: scribd.com
Focus Group Discussion FGD atau Diskusi kelompok terarah adalah suatu proses pengumpulan informasi suatu masalah tertentu yang sangat spesifik melalui diskusi kelompok Irwanto 1998. Anda dan teman Anda akan mendaki bukit. If you had to pick one public service you would like to see improved what would it be. Peserta FGD merupakan narasumber yang akan memberikan informasi dan data mengenai isu yang dibahas dalam FGD. Menurut beberapa literatur tentang FGD lihat misalnya Sawson Manderson.
Source: id.scribd.com
Tentu pernyataan tersebut berdasar bukti nyata di lapangan bahwa secara faktual tidak semua UMKM mampu menolong dirinya sendiri. Communicates results to the marketing team. Pengertian Focus Group Discussion FGD - FGD merupakan singkatan dari focus group discussion bahasa Indonesianya adalah diskusi kelomok fokusTapi FGD itu sebenarnya apa. Make a conclusion paragraph to end your report. Enables you to document focus group findings.
Source: id.scribd.com
PENDAHULUAN Diberbagai kesempatan Bapak Menteri Koperasi UKM menyampaikan perlunya pendampingan bagi UMKM. Focus Group Discussion Apa yang di maksud dengan FGD. Menurut Henning dan Coloumbia 1990 diskusi kelompok terarah adalah wawancara dari sekelompok kecil orang yang dipimpin oleh seorang narasumber atau moderator yang secara halus mendorong peserta untuk berani. Peserta FGD merupakan narasumber yang akan memberikan informasi dan data mengenai isu yang dibahas dalam FGD. Pemahaman tentang FGD Istilah kelompok diskusi terarah atau dikenal sebagai Focus Group Discussion FGD saat ini sangat populer dan banyak digunakan sebagai metode pengumpulan data dalam penelitian sosial.
Source: slideshare.net
Then break up the interview into paragraphs just like narrating a story and then use the selected quotes that you have to help you. Menurut Henning dan Coloumbia 1990 diskusi kelompok terarah adalah wawancara dari sekelompok kecil orang yang dipimpin oleh seorang narasumber atau moderator yang secara halus mendorong peserta untuk berani. Beruang itu masih berkeliaran di sekitar lokasi Anda karena ia memiliki anak kecil sehingga beruang menjadi kasar. Terlalu sedikit tidak memberikan. Tentu saja dalam waktu 15 2 jam tidak mungkin kita mengeksplorasi semua hal.
Source: slideshare.net
1 melaksanakan Focus Group discussion FGD dengan rekan-rekan guru di sekolah untuk membantu guru dalam meningkatkan mutu pembelajarannya melalui kegiatan supervisi oleh kepala sekolah 2 mengajak guru untuk. Pelayanan masyarakat adalah segala sesuatu yang disediakan untuk semua orang misalnya sekolah puskesmas keamanan sistem peradilan sanitasi dll. Beruang itu masih berkeliaran di sekitar lokasi Anda karena ia memiliki anak kecil sehingga beruang menjadi kasar. Focus Group Discussion. Menurut Henning dan Coloumbia 1990 diskusi kelompok terarah adalah wawancara dari sekelompok kecil orang yang dipimpin oleh seorang narasumber atau moderator yang secara halus mendorong peserta untuk berani.
Source: scribd.com
If you had to pick one public service you would like to see improved what would it be. Tentu saja dalam waktu 15 2 jam tidak mungkin kita mengeksplorasi semua hal. Focus Group Discussion. Disini kita dapat melihat bahwa peraturan dapat digunakan. Terlalu sedikit tidak memberikan.
Source: samplesiteg.blogspot.com
Menurut beberapa literatur tentang FGD lihat misalnya Sawson Manderson. Dan Morgan DL 1998 jumlah yang ideal adalah 7 -11 orang namun ada juga yang menyarankan jumlah peserta FGD lebih kecil yaitu 4-7 orang Koentjoro 2005. Disini kita dapat melihat bahwa peraturan dapat digunakan. We avoid recruiting people who are too talkative too silent or not willing to share their ideas with the group. Contoh dari pelayanan masyarakat kepada kelompok.
Source: dokumen.tips
Beruang itu masih berkeliaran di sekitar lokasi Anda karena ia memiliki anak kecil sehingga beruang menjadi kasar. Mengembangkan hipotesis penelitian untuk ditindaklanjuti Merangsang gagasan baru dan konsep. PENDAHULUAN Diberbagai kesempatan Bapak Menteri Koperasi UKM menyampaikan perlunya pendampingan bagi UMKM. Dan Morgan DL 1998 jumlah yang ideal adalah 7 -11 orang namun ada juga yang menyarankan jumlah peserta FGD lebih kecil yaitu 4-7 orang Koentjoro 2005. Pemahaman tentang FGD Istilah kelompok diskusi terarah atau dikenal sebagai Focus Group Discussion FGD saat ini sangat populer dan banyak digunakan sebagai metode pengumpulan data dalam penelitian sosial.
Source: dokumen.tips
FGD diselenggarakan selama 1 satu hari terdiri dari 3 tiga sesi diskusi. Kemudian Anda diberikan kondisi tertentu dan beberapa opsi. Banyak penyelenggara FGD terjebak pada keinginan untuk tahu semua. 7 atau 6-8 orang Krueger Casey 2000. On a scale of 0 to 10 to what extent has this community achieved each of these characteristics in the current period and in the last crisis period.
Source: nusaresearch.com
Disini kita dapat melihat bahwa peraturan dapat digunakan. On a scale of 0 to 10 to what extent has this community achieved each of these characteristics in the current period and in the last crisis period. 1 melaksanakan Focus Group discussion FGD dengan rekan-rekan guru di sekolah untuk membantu guru dalam meningkatkan mutu pembelajarannya melalui kegiatan supervisi oleh kepala sekolah 2 mengajak guru untuk. Logistics for FGD Selection of Moderator and Note taker Well set responsibilities of moderator and note taker Number of people for focus group Venue and time of FGD Identity of every participant of FGD in note takers note Well functioning recording equipment spare batteries Field notes 38 Aslam Aman 39. Reconfirm FGD purpose before execution Executors carefully ensure that objectives of the discussion are clearly defined by clients.
Source: slideshare.net
Pengertian Focus Group Discussion FGD - FGD merupakan singkatan dari focus group discussion bahasa Indonesianya adalah diskusi kelomok fokusTapi FGD itu sebenarnya apa. FGD diselenggarakan selama 1 satu hari terdiri dari 3 tiga sesi diskusi. If you had to pick one public service you would like to see improved what would it be. Jalan layang adalah contoh bagaimana perilaku terbentuk. Reconfirm FGD purpose before execution Executors carefully ensure that objectives of the discussion are clearly defined by clients.
Source: scribd.com
Kemudian pemimpin tim dan salah satu teman Anda diserang oleh beruang jadi dia terluka parah. Jalan layang adalah contoh bagaimana perilaku terbentuk. FGD diselenggarakan selama 1 satu hari terdiri dari 3 tiga sesi diskusi. Menurut Henning dan Coloumbia 1990 diskusi kelompok terarah adalah wawancara dari sekelompok kecil orang yang dipimpin oleh seorang narasumber atau moderator yang secara halus mendorong peserta untuk berani. Menurut beberapa literatur tentang FGD lihat misalnya Sawson Manderson.
Source: scribd.com
Make a conclusion paragraph to end your report. Contoh data yang diperoleh dari Dinas Kelautan dan Perikanan dapat dilihat pada Tabel 2A sedangkan contoh data yang dikeluarkan oleh Pelabuhan Perikanan Nusantara Ambon disajikan pada Tabel 2B. Peserta FGD merupakan narasumber yang akan memberikan informasi dan data mengenai isu yang dibahas dalam FGD. Istilah ini terdiri atas dua bagian yaitu kelompok fokus dan diskusiKelomok fokus merupakan kelompok yang terdiri atas orang-orang yang dipandang mempunyai kaitan dengan suatu masalah. Rate the communitys progress in attaining the priority resilience statements.
Source: contohdiam.blogspot.com
This tool allows you to save time on formatting by providing you with a concise well researched Focus Group Report format. Pelayanan masyarakat adalah segala sesuatu yang disediakan untuk semua orang misalnya sekolah puskesmas keamanan sistem peradilan sanitasi dll. Make a conclusion paragraph to end your report. Pengertian Focus Group Discussion FGD - FGD merupakan singkatan dari focus group discussion bahasa Indonesianya adalah diskusi kelomok fokusTapi FGD itu sebenarnya apa. CONTOH LAPORAN FOCUS GROUP DISCUSSIONS FGD I.
Source: scribd.com
Menurut Henning dan Coloumbia 1990 diskusi kelompok terarah adalah wawancara dari sekelompok kecil orang yang dipimpin oleh seorang narasumber atau moderator yang secara halus mendorong peserta untuk berani. On a scale of 0 to 10 to what extent has this community achieved each of these characteristics in the current period and in the last crisis period. Disini kita dapat melihat bahwa peraturan dapat digunakan. By Mughnifar Ilham Posted on August 17 2020. Berikut ini adalah panduan umum pelaksanaan FGD di tiap daerah.
This site is an open community for users to do submittion their favorite wallpapers on the internet, all images or pictures in this website are for personal wallpaper use only, it is stricly prohibited to use this wallpaper for commercial purposes, if you are the author and find this image is shared without your permission, please kindly raise a DMCA report to Us.
If you find this site beneficial, please support us by sharing this posts to your preference social media accounts like Facebook, Instagram and so on or you can also bookmark this blog page with the title contoh report fgd by using Ctrl + D for devices a laptop with a Windows operating system or Command + D for laptops with an Apple operating system. If you use a smartphone, you can also use the drawer menu of the browser you are using. Whether it’s a Windows, Mac, iOS or Android operating system, you will still be able to bookmark this website.



