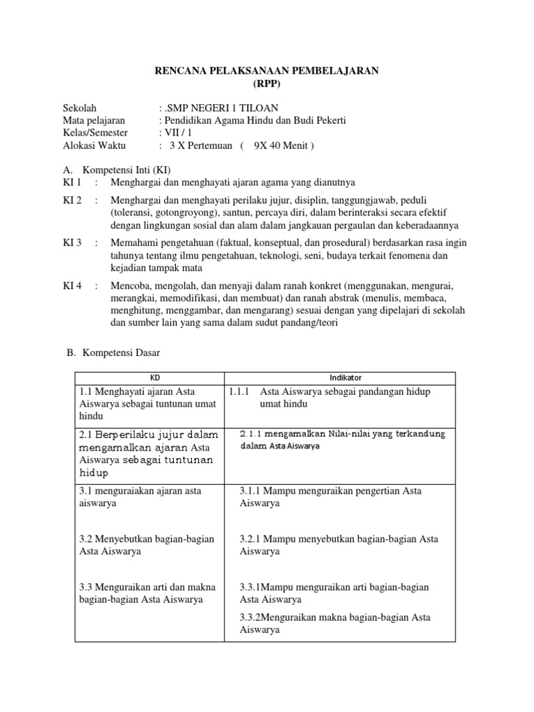
Contoh Makalah Agama Hindu Tentang Asta Aiswarya - Setelah belajar tentang Asta Aiswarya hal pengetahuan baru apakah yang telah kamu dapatkan. Asta Aiswarya berasal dari bahasa sansekerta yakni dari kata Asta yang artinya delapan dan kata Aiswarya yang berarti kemahakuasaanDengan demikian Asta Aiswarya mengandung arti Delapan sifat kemahakuasaan Tuhan. _____ Tuliskan cerita lain terkait dengan Asta Aiswarya dan sertakan beberapa sloka atau mantram terkait dengan kemahakuasaan Hyang Widhi Wasa.
Contoh makalah agama hindu tentang asta aiswarya. Dari mempelajari tentang asta aiswarya kita dapat mengetahui yang didapatkan untuk menghayati kemahakuasaan hyang widhi wasa yakni hal mengenai empat niyasa shakti shakti yang berkaitan dengan kebaikan manusia. Pendidikan Agama Hindu 1. Memahami Weda sebagai kitab suci dan para Rsi penerima wahyu 5. Kementerian Pendidikan dan Kebudayaan 2013.
Makalah Agama Hindu Tentang Asta Aiswarya Contoh Makalah From buatmakalah.com
Kitab Suci Agama Hindu Kitab suci agama Hindu ialah kitab Weda. Jadi asta aiswarya yaitu delapan sifat kemahakuasaan dari Ida Sang Hyang Widhi. Kata Asta artinya delapan dan kata Aiswarya berarti kemahakuasaan. Kalau kita perhatikan segala sesuatu yang ada di sekitar kita maka beraneka ragam benda pemandangan yang indah dan mahluk hidup yang dapat kita lihat. Asta Aiswarya juga biasa disebut sebagai bentuk dan sifat ke-Maha-Kuasa-an Sanghyang Widhi skala dan niskala yang terdiri dari delapan kekuatan sehingga Aiswarya sering pula disebut Asta Aiswarya. Dalam Sloka pendahulunya menyebutkan tentang sifat Sang Hyang Wihi Wasa yang.
Sradha Widhi Sradha.
Kementerian Pendidikan dan Kebudayaan 2013. _____ Tuliskan cerita lain terkait dengan Asta Aiswarya dan sertakan beberapa sloka atau mantram terkait dengan kemahakuasaan Hyang Widhi Wasa. Panca Mahabhuta Sebagai Anasir Dasar Penyusun Alam Semesta. AGAMA HINDU GURU PENGAJAR. HINDUALUKTA – Asta Aiswarya berasal dari bahasa sanskerta yakni dari kata Asta yang artinya delapan dan kata Aiswarya yang berarti kemahakuasaan Midastra 2007. Karma bekerja sebaik-baiknya untuk dipersembahkan kepada orang lain dan Tuhan.
Source: coursehero.com
Dewa Gede Padma 7 Agustus 2015 0328. Pengertian Asta Aiswarya Asta Aiswarya berasal dari bahasa sansekerta yakni dari kata Asta yang artinya delapan dan kata Aiswarya yang berarti kemahakuasaan Midastra 2007. Kementerian Pendidikan dan Kebudayaan 2013. Kali ini aq mau bagi2 makalah agama hindu tentang panca yajna yang ini beda lho semoga dpat bermanfaat yachhhhhhhhh bye bye salam terhangat BAB I PENDAHULUAN Latar Belakang Masalah Sejarah menyatakan bahwa pada jaman dahulu kala di wilayah Nusantara Indonesia telah berdiri Kerajaan-Kerajaan Besar seperti salah satu di antaranya adalah Kerajaan. Dengan demikian Asta Aiswarya mengandung arti delapan sifat kemahakuasaan Tuhan.
Source: id.scribd.com
Asta Aiswarya dapat digambarkan sebagai kemahakuasaan Ida Sang Hyang Widhi sebagai Padma Astra Data teratai berdaun delapan. Kementerian Pendidikan dan Kebudayaan 2013. Jnana menuntut ilmu sebanyak-banyaknya untuk bekal hidup dan. Kitab Suci Agama Hindu Kitab suci agama Hindu ialah kitab Weda. Setelah belajar tentang Asta Aiswarya hal pengetahuan baru apakah yang telah kamu dapatkan.
Source: buatmakalah.com
Pengertian Asta Aiswarya Asta Aiswarya berasal dari bahasa sansekerta yakni dari kata Asta yang artinya delapan dan kata Aiswarya yang berarti kemahakuasaan Midastra 2007. Pendidikan Agama Hindu 1. Fakultas MIPA Jurusan Pend. Kementerian Pendidikan dan Kebudayaan. Karma bekerja sebaik-baiknya untuk dipersembahkan kepada orang lain dan Tuhan.
Source: buatmakalah.com
Kali ini aq mau bagi2 makalah agama hindu tentang panca yajna yang ini beda lho semoga dpat bermanfaat yachhhhhhhhh bye bye salam terhangat BAB I PENDAHULUAN Latar Belakang Masalah Sejarah menyatakan bahwa pada jaman dahulu kala di wilayah Nusantara Indonesia telah berdiri Kerajaan-Kerajaan Besar seperti salah satu di antaranya adalah Kerajaan. Meyakini kemahakuasaan Sang Hyang Widhi Tuhan sebagai Asta Aiswarya Awatara Dewa dan Bhatara 2. Memahami Weda sebagai kitab suci dan para Rsi penerima wahyu 5. SRADDHAASTA AISWARYA PENGERTIAN ASTA AISWARYA BAGIAN-BAGIAN ASTA AISWARYA PENGERTIAN ASTA AISWARYA sebelum membahas pengertian Asta Aiswarya kita perlu tahu apa atau siapa Tuhan itu Untuk mengetahuinya ada sloka-2 yang membahasnya diantaranya. Dengan demikian Asta Aiswarya mengandung arti Delapan sifat kemahakuasaan Tuhan.
Source: prmakalah.blogspot.com
Sradha Widhi Sradha. Kitab suci ini mengandung keper-cayaan-kepercayaan adat-istiadat dan hukum-hukum juga tidak memiliki pencipta yang pasti. SaranDengan dibuatnya makalah ini agar dapat bermanfaat bagi pembaca untuk dapat lebih memahami tentang Nawa Natya dapat diterapkan dalam kehidupan sehari-hariKarya sastra apa saja yang ada pada masa Kerajaan Kediri Bagaimana latar belakang runtuhnya Kerajaan Kediri 13 Tujuan Penulisan Tujuan Umum. Kata Asta artinya delapan dan kata Aiswarya berarti kemahakuasaan. Memahami Weda sebagai kitab suci dan para Rsi penerima wahyu 5.
Source: buatmakalah.com
Asta Aiswarya juga biasa disebut sebagai bentuk dan sifat ke-Maha-Kuasa-an Sanghyang Widhi skala dan niskala yang terdiri dari delapan kekuatan sehingga Aiswarya sering pula disebut Asta Aiswarya. Asta Aiswarya berasal dari Bahasa Sansekerta yang terdidi dari kata Asta dan kata Aiswarya. Jadi asta aiswarya yaitu delapan sifat kemahakuasaan dari Ida Sang Hyang Widhi. I Gusti Ngurah Agung Sandy Warman SPdH. Pendidikan Agama Hindu 1.
Source: buatmakalah.com
Asta Aiswarya adalah delapan kemahakuasaan Ida Hyang Widi Wasa. Fakultas MIPA Jurusan Pend. Asta Aiswarya berasal dari bahasa sansekerta yakni dari kata Asta yang artinya delapan dan kata Aiswarya yang berarti kemahakuasaanDengan demikian Asta Aiswarya mengandung arti Delapan sifat kemahakuasaan Tuhan. Kirimkan Ini lewat Email BlogThis. Makalah Asta Bratha Asas Kepemimpinan Agama Hindu in Agama Hindu Materi.
Source: studylibid.com
Penganut agama Hindu mempercayai kitab Weda adalah suatu kitab yang ada sejak dahulu yang tidak mempunyai tanggal permulaannya. Dengan demikian Asta Aiswarya mengandung arti delapan sifat kemahakuasaan Tuhan. Asta Aiswarya juga biasa disebut sebagai bentuk dan sifat ke-Maha-Kuasa-an Sanghyang Widhi skala dan niskala yang terdiri dari delapan kekuatan sehingga Aiswarya sering pula disebut Asta Aiswarya. Memahami Weda sebagai kitab suci dan para Rsi penerima wahyu 5. Sekadar contoh di antara nilai budi pekerti dalam agama Hindu dikenal dengan Tri Marga bakti kepada Tuhan orang tua dan guru.
Source: es.scribd.com
Panca Mahabhuta Sebagai Anasir Dasar Penyusun Alam Semesta. Kalau kita perhatikan segala sesuatu yang ada di sekitar kita maka beraneka ragam benda pemandangan yang indah dan mahluk hidup yang dapat kita lihat. Asta Aiswarya juga biasa disebut sebagai bentuk dan sifat ke-Maha-Kuasa-an Sanghyang Widhi skala dan niskala yang terdiri dari delapan kekuatan sehingga Aiswarya sering pula disebut Asta Aiswarya. I Gusti Ngurah Agung Sandy Warman SPdH. Asta Aiswarya berasal dari Bahasa Sansekerta yang terdidi dari kata Asta dan kata Aiswarya.
Source: es.scribd.com
Om Swastyastu Puja dan puji syukur ke hadapan Tuhan yang Maha Esa atau Ida Sang Hyang Widhi Wasa karena atas berkat dan ijin Beliaulah tugas-tugas akhir dari rekan-rekan affinity dapat terselesaikan tepat waktu. Untuk SMP Kelas VII ISBN 978-602-1530-50-4 jilid lengkap ISBN 978-602-1530-51-1 jilid 1 1. Hindu Studi dan Pengajaran I. Asta Aiswarya adalah delapan kemahakuasaan Ida Hyang Widi Wasa. JANMADHYASYA YATAH Artinya.
Source: revisisekolah.blogspot.com
Dari mempelajari tentang asta aiswarya kita dapat mengetahui yang didapatkan untuk menghayati kemahakuasaan hyang widhi wasa yakni hal mengenai empat niyasa shakti shakti yang berkaitan dengan kebaikan manusia. Kata Asta artinya delapan dan kata Aiswarya berarti kemahakuasaan. Karma bekerja sebaik-baiknya untuk dipersembahkan kepada orang lain dan Tuhan. Kalau kita perhatikan segala sesuatu yang ada di sekitar kita maka beraneka ragam benda pemandangan yang indah dan mahluk hidup yang dapat kita lihat. Asta Aiswarya dapat digambarkan sebagai kemahakuasaan Ida Sanghyang Widhi sebagai Padma Asta Dala teratai berdaun delapan.
Source: buatmakalah.com
Kata Asta artinya delapan dan kata Aiswarya berarti kemahakuasaan. Pendidikan Agama Hindu 1. Sekadar contoh di antara nilai budi pekerti dalam agama Hindu dikenal dengan Tri Marga bakti kepada Tuhan orang tua dan guru. Tuhan ialah dari mana mula. AGAMA HINDU GURU PENGAJAR.
Source: buatmakalah.com
HINDUALUKTA – Asta Aiswarya berasal dari bahasa sanskerta yakni dari kata Asta yang artinya delapan dan kata Aiswarya yang berarti kemahakuasaan Midastra 2007. _____ Tuliskan cerita lain terkait dengan Asta Aiswarya dan sertakan beberapa sloka atau mantram terkait dengan kemahakuasaan Hyang Widhi Wasa. Kata Asta artinya delapan dan kata Aiswarya berarti kemahakuasaan. Kali ini aq mau bagi2 makalah agama hindu tentang panca yajna yang ini beda lho semoga dpat bermanfaat yachhhhhhhhh bye bye salam terhangat BAB I PENDAHULUAN Latar Belakang Masalah Sejarah menyatakan bahwa pada jaman dahulu kala di wilayah Nusantara Indonesia telah berdiri Kerajaan-Kerajaan Besar seperti salah satu di antaranya adalah Kerajaan. Kitab Suci Agama Hindu Kitab suci agama Hindu ialah kitab Weda.
Source: buatmakalah.com
Kitab Suci Agama Hindu Kitab suci agama Hindu ialah kitab Weda. Asta Aiswarya berasal dari Bahasa Sansekerta yang terdidi dari kata Asta dan kata Aiswarya. Kali ini aq mau bagi2 makalah agama hindu tentang panca yajna yang ini beda lho semoga dpat bermanfaat yachhhhhhhhh bye bye salam terhangat BAB I PENDAHULUAN Latar Belakang Masalah Sejarah menyatakan bahwa pada jaman dahulu kala di wilayah Nusantara Indonesia telah berdiri Kerajaan-Kerajaan Besar seperti salah satu di antaranya adalah Kerajaan. Pendidikan Agama Hindu dan Budi PekertiKementerian Pendidikan dan Kebudayaan. Dewa Gede Padma 7 Agustus 2015 0328.
Source: slideshare.net
Kementerian Pendidikan dan Kebudayaan 2013. Kitab suci ini mengandung keper-cayaan-kepercayaan adat-istiadat dan hukum-hukum juga tidak memiliki pencipta yang pasti. Asta Aiswarya adalah delapan kemahakuasaan Ida Hyang Widi Wasa. Makalah Asta Bratha Asas Kepemimpinan Agama Hindu by Ningsih Sep 29 2019 Sep 29 2019. SRADDHAASTA AISWARYA PENGERTIAN ASTA AISWARYA BAGIAN-BAGIAN ASTA AISWARYA PENGERTIAN ASTA AISWARYA sebelum membahas pengertian Asta Aiswarya kita perlu tahu apa atau siapa Tuhan itu Untuk mengetahuinya ada sloka-2 yang membahasnya diantaranya.
Source: buatmakalah.com
Kitab Suci Agama Hindu Kitab suci agama Hindu ialah kitab Weda. SaranDengan dibuatnya makalah ini agar dapat bermanfaat bagi pembaca untuk dapat lebih memahami tentang Nawa Natya dapat diterapkan dalam kehidupan sehari-hariKarya sastra apa saja yang ada pada masa Kerajaan Kediri Bagaimana latar belakang runtuhnya Kerajaan Kediri 13 Tujuan Penulisan Tujuan Umum. SRADDHAASTA AISWARYA PENGERTIAN ASTA AISWARYA BAGIAN-BAGIAN ASTA AISWARYA PENGERTIAN ASTA AISWARYA sebelum membahas pengertian Asta Aiswarya kita perlu tahu apa atau siapa Tuhan itu Untuk mengetahuinya ada sloka-2 yang membahasnya diantaranya. Kirimkan Ini lewat Email BlogThis. Dengan demikian Asta Aiswarya mengandung arti Delapan sifat kemahakuasaan Tuhan.
Source: buatmakalah.com
AGAMA HINDU GURU PENGAJAR. Tuhan ialah dari mana mula. JANMADHYASYA YATAH Artinya. Untuk SMP Kelas VII ISBN 978-602-1530-50-4 jilid lengkap ISBN 978-602-1530-51-1 jilid 1 1. Dengan demikian Asta Aiswarya mengandung arti Delapan sifat kemahakuasaan Tuhan.
Source: buatmakalah.com
_____ Sebutkan dan jelaskan bagian-bagian Asta Aiswarya. Jelaskan pengertian Asta Aiswarya. Hindu Studi dan Pengajaran I. Kali ini aq mau bagi2 makalah agama hindu tentang panca yajna yang ini beda lho semoga dpat bermanfaat yachhhhhhhhh bye bye salam terhangat BAB I PENDAHULUAN Latar Belakang Masalah Sejarah menyatakan bahwa pada jaman dahulu kala di wilayah Nusantara Indonesia telah berdiri Kerajaan-Kerajaan Besar seperti salah satu di antaranya adalah Kerajaan. Asta Aiswarya dapat digambarkan sebagai kemahakuasaan Ida Sanghyang Widhi sebagai Padma Asta Dala teratai berdaun delapan.
This site is an open community for users to submit their favorite wallpapers on the internet, all images or pictures in this website are for personal wallpaper use only, it is stricly prohibited to use this wallpaper for commercial purposes, if you are the author and find this image is shared without your permission, please kindly raise a DMCA report to Us.
If you find this site value, please support us by sharing this posts to your preference social media accounts like Facebook, Instagram and so on or you can also save this blog page with the title contoh makalah agama hindu tentang asta aiswarya by using Ctrl + D for devices a laptop with a Windows operating system or Command + D for laptops with an Apple operating system. If you use a smartphone, you can also use the drawer menu of the browser you are using. Whether it’s a Windows, Mac, iOS or Android operating system, you will still be able to bookmark this website.

